您的位置首页百科知识

叙述并证明余弦定理

叙述并证明余弦定理

的有关信息介绍如下:

见解析

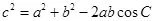
本题是课本公式、定理、性质的推导,这是高考考查的常规方向和考点,引导考生回归课本,重视基础知识学习和巩固.叙述:余弦定理:三角形任何一边的平方等于其他两遍平方的和减去这两边与它们夹角的余弦之积的两倍。或:在△ABC中,a,b,c为A,B,C的对边,有

叙述并证明余弦定理

叙述并证明余弦定理

叙述并证明余弦定理

.

叙述并证明余弦定理

证明:(证法一) 如图,

叙述并证明余弦定理

叙述并证明余弦定理

叙述并证明余弦定理

叙述并证明余弦定理

叙述并证明余弦定理

叙述并证明余弦定理

同理可证

叙述并证明余弦定理

叙述并证明余弦定理

(证法二)已知

叙述并证明余弦定理

中,

叙述并证明余弦定理

所对边分别为

叙述并证明余弦定理

,以

叙述并证明余弦定理

为原点,

叙述并证明余弦定理

所在直线为

叙述并证明余弦定理

轴建立直角坐标系,则

叙述并证明余弦定理

,∴

叙述并证明余弦定理

叙述并证明余弦定理

叙述并证明余弦定理

叙述并证明余弦定理

同理可证

叙述并证明余弦定理

叙述并证明余弦定理